《回弹法检测混凝土抗压强度技术规程》JGJ/T 23-2011
4 检测技术 / 4.1 一般规定
4.1.1 采用回弹法检测混凝土强度时,宜具有下列资料:
1 工程名称、设计单位、施工单位;
2 构件名称、数量及混凝土类型、强度等级;
3 水泥安定性,外加剂、掺合料品种,混凝土配合比等;
4 施工模板,混凝土浇筑、养护情况及浇筑日期等;
5 必要的设计图纸和施工记录;
6 检测原因。
4.1.2 回弹仪在检测前后,均应在钢砧上做率定试验,并应符合本规程第3.1.3条的规定。
4.1.3 混凝土强度可按单个构件或按批量进行检测,并应符合下列规定:
1 单个构件的检测应符合本规程第4.1.4条的规定。
2 对于混凝土生产工艺、强度等级相同,原材料、配合比、养护条件基本一致且龄期相近的一批同类构件的检测应采用批量检测。按批量进行检测时,应随机抽取构件,抽检数量不宜少于同批构件总数的30%且不宜少于10件。当检验批受检构件数量大于30个时,抽样构件数量可适当调整,并不得少于国家现行有关标准规定的最少抽样数量。
4.1.4 单个构件的检测应符合下列规定:
1 对于一般构件,测区数不宜少于10个。当受检构件数量大于30个且不需提供单个构件推定强度或受检构件某一方向尺寸不大于4.5m且另一方向尺寸不大于0.3m时,每个构件的测区数量可适当减少,但不应少于5个。
2 相邻两测区的间距不应大于2m,测区离构件端部或施工缝边缘的距离不宜大于0.5m,且不宜小于0.2m。
3 测区宜选在能使回弹仪处于水平方向的混凝土浇筑侧面。当不能满足这一要求时,也可选在使回弹仪处于非水平方向的混凝土浇筑表面或底面。
4 测区宜布置在构件的两个对称的可测面上,当不能布置在对称的可测面上时,也可布置在同一可测面上,且应均匀分布。在构件的重要部位及薄弱部位应布置测区,并应避开预埋件。
5 测区的面积不宜大于0.04m2。
6 测区表面应为混凝土原浆面,并应清洁、平整,不应有疏松层、浮浆、油垢、涂层以及蜂窝、麻面。
7 对于弹击时产生颤动的薄壁、小型构件,应进行固定。
4.1.5 测区应标有清晰的编号,并宜在记录纸上绘制测区布置示意图和描述外观质量情况。
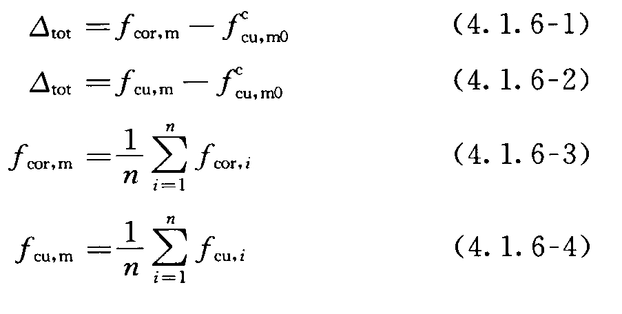
4.1.6
当检测条件与本规程第6.2.1条和第6.2.2条的适用条件有较大差异时,可采用在构件上钻取的混凝土芯样或同条件试块对测区混凝土强度换算值进行修正。对同一强度等级混凝土修正时,芯样数量不应少于6个,公称直径宜为100mm,高径比应为1。芯样应在测区内钻取,每个芯样应只加工一个试件。同条件试块修正时,试块数量不应少于6个,试块边长应为150mm。计算时,测区混凝土强度修正量及测区混凝土强度换算值的修正应符合下列规定:
1 修正量应按下列公式计算:



fcor,m——芯样试件混凝土强度平均值(MPa),精确到0.1MPa;
fcu,m——150mm同条件立方体试块混凝土强度平均值(MPa),精确到0.1MPa;
fcu,m0c——对应于钻芯部位或同条件立方体试块回弹测区混凝土强度换算值的平均值(MPa),精确到0.1MPa;
fcor,i——第i个混凝土芯样试件的抗压强度;
fcu,i——第i个混凝土立方体试块的抗压强度;
fcu,ic——对应于第i个芯样部位或同条件立方体试块测区回弹值和碳化深度值的混凝土强度换算值,可按本规程附录A或附录B取值;
n——芯样或试块数量。