《回弹法检测混凝土抗压强度技术规程》JGJ/T 23-2011
7 混凝土强度的计算
7.0.1 构件第i个测区混凝土强度换算值,可按本规程第5章所求得的平均回弹值(Rm)及按本规程第4.3条所求得的平均碳化深度值(dm)由本规程附录A、附录B查表或计算得出。当有地区或专用测强曲线时,混凝土强度的换算值宜按地区测强曲线或专用测强曲线计算或查表得出。
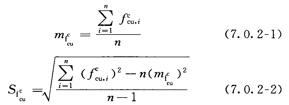
7.0.2 构件的测区混凝土强度平均值应根据各测区的混凝土强度换算值计算。当测区数为10个及以上时,还应计算强度标准差。平均值及标准差应按下列公式计算:

7.0.3
构件的现龄期混凝土强度推定值(fcu,e)应符合下列规定:
1 当构件测区数少于10个时,应按下式计算:




7.0.4 对按批量检测的构件,当该批构件混凝土强度标准差出现下列情况之一时,该批构件应全部按单个构件检测:
1 当该批构件混凝土强度平均值小于25MPa、大于4.5MPa时;
2 当该批构件混凝土强度平均值不小于25MPa且不大于60MPa、大于5.5MPa时。
7.0.5 回弹法检测混凝土抗压强度报告可按本规程附录F的格式编写。