《工业建筑可靠性鉴定标准》GB 50144-2019
附录B 工业大气环境混凝土结构耐久性剩余寿命评估 / B.2 工业大气环境混凝土结构耐久性剩余寿命评估
B.2.1 混凝土保护层锈胀开裂时间tcr可按下式估算:

tc——钢筋开始锈蚀至保护层胀裂的时间(a)。
B.2.2 混凝土中的钢筋开始锈蚀时间ti可按下式估算:

表B.2.2-1 中性化速度对钢筋开始锈蚀时间的影响系数

表B.2.2-2 保护层厚度对钢筋开始锈蚀时间的影响系数

表B.2.2-3 局部环境对钢筋开始锈蚀时间的影响系数
注:局部环境系数按本标准表B.1.4取用。

B.2.3 混凝土中性化系数k应按下式计算:

t0——结构建成至检测时的时间(a)。
注:1 中性化深度测区应与评定钢筋锈蚀部位一致,测区不在构件角部时,角部的中性化深度可取非角部的1.4倍;
2 构件有覆盖层时,应考虑覆盖层的作用。
B.2.4 钢筋开始锈蚀至混凝土保护层胀裂的时间可按下式估算:

Hc、Hf、Hd、HT、HRH、Hm——保护层厚度、混凝土强度、钢筋直径、环境温度、环境湿度、局部环境对锈胀开裂时间的影响系数,分别按表B.2.4-1~表B.2.4-6取用。
表B.2.4-1 保护层厚度对锈胀开裂时间的影响系数

表B.2.4-2 混凝土强度对锈胀开裂时间的影响系数

表B.2.4-3 钢筋直径对锈胀开裂时间的影响系数

表B.2.4-4 环境温度对锈胀开裂时间的影响系数

表B.2.4-5 环境湿度对锈胀开裂时间的影响系数

表B.2.4-6 局部环境对锈胀开裂时间的影响系数

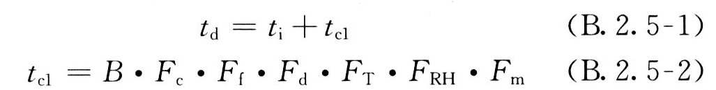
B.2.5 结构性能严重退化的时间td可按下列公式估算:

B——特定条件下(各项影响系数为1.0时)自钢筋开始锈蚀至结构性能严重退化的时间,对室外杆件取B=7.04,室外墙、板取B=8.09;对室内杆件取B=8.84,室内墙、板取B=14.48;
Fc、Ff、Fd、FT、FRH、Fm——保护层厚度、混凝土强度、钢筋直径、环境温度、环境湿度、局部环境对结构性能严重退化时间的影响系数,按表B.2.5-1~表B.2.5-6取用。
表B.2.5-1 保护层厚度对结构性能严重退化时间的影响系数

表B.2.5-2 混凝土强度对结构性能严重退化时间的影响系数

表B.2.5-3 钢筋直径对结构性能严重退化时间的影响系数

表B.2.5-4 环境温度对结构性能严重退化时间的影响系数

表B.2.5-5 环境湿度对结构性能严重退化时间的影响系数

表B.2.5-6 局部环境对结构性能严重退化时间的影响系数

B.2.6 混凝土结构或构件的耐久性剩余寿命tre可按下列公式计算:

