《建筑结构检测技术标准》GB/T 50344-2019
附录F 结构性能的静力荷载检验 / F.4 荷载或构件系数检验
F.4.1 结构构件荷载系数或构件系数的实荷检验应符合下列规定:
1 在荷载系数或构件系数的检验前应进行结构构件适用性检验;
2 检验目标荷载应取荷载系数和构件系数对应检验荷载中的较大值。
F.4.2 结构构件荷载系数或构件系数的实荷检验应区分既有结构性能的检验和结构工程质量的检验。
F.4.3
既有结构构件荷载系数和对应的检验荷载应符合下列规定:
1 结构构件荷载的系数γF应按下式计算:

γG,2——持久荷载的分项系数或系数;
GK,2——单位体积的持久荷载值,取设计要求值和现场实测值的较大值;
CG,2——持久荷载的尺寸参数,按实际情况确定;
γL,1——可变荷载的分项系数或系数;
QK,1——可变荷载标准值;
CQ,1——可变荷载的尺寸参数,按实际情况确定;
γL,2——雪荷载的分项系数或系数;
QK,2——雪荷载的基本雪压;
CQ,2——雪荷载的相关参数,按实际情况确定。 2 持久荷载系数的取值应符合下列规定:
1)对于未作用到结构的持久荷载,γG,2不宜小于1.4;
2)对于已经作用到结构上的持久荷载且荷载不再有变化时,γG,2可取为零,在式(F.4.3-1)和式(F.4.3-2)中可不考虑该类持久荷载的因素;
3)对于已经作用到结构上的持久荷载但需要考虑受水等影响的荷载增量时,式(F.4.3-1)和式(F.4.3-2)的持久荷载GK,2和CG,2应为荷载的预计增量,预计增量的分项系数γG,2不应小于1.4。
3 可变荷载的系数取值应符合下列规定:
1)屋面可变荷载的系数宜符合现行国家标准《建筑结构荷载规范》GB 50009规定;
2)楼面活荷载的分项系数γL,1不宜小于1.6。
4 雪荷载的分项系数和基本雪压应按下列规定确定:
1)当雪荷载的系数取现行国家标准《建筑结构荷载规范》GB 50009规定的值时,基本雪压应取本标准第9章的分析值与重现期100年雪压值中的较大值;
2)当基本雪压取重现期100年的相应数值时,雪荷载的分项系数应取现行国家标准《建筑结构荷载规范》GB 50009规定值和按本标准第9章规定的分析值中的较大值。
5 既有结构构件荷载系数检验目标荷载应按下式计算:

F.4.4
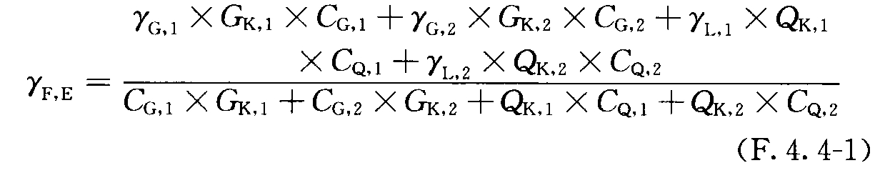
结构工程检验的荷载系数和对应的检验荷载应符合下列规定:
1 结构构件荷载的系数γF应按下式计算确定:

γG,1——自重荷载的系数,按现行国家标准《建筑结构荷载规范》GB 50009的规定确定;
GK,1——单位体积或面积的自重荷载值,按实际情况确定;
CG,1——自重荷载的尺寸参数,按实际情况确定;
γG,2——持久荷载的系数,取1.35;
GK,2——单位体积的持久荷载值,按现行国家标准《建筑结构荷载规范》GB 50009的规定确定或按实际情况确定;
CG,2——持久荷载的尺寸参数,按实际情况确定;
γL,1——可变荷载的系数,按现行国家标准《建筑结构荷载规范》GB 50009的规定确定;
QK,1——可变荷载标准值,按现行国家标准《建筑结构荷载规范》GB 50009的规定确定;
CQ,1——可变荷载的尺寸参数,按实际情况确定;
γL,2——雪荷载的系数,按现行国家标准《建筑结构荷载规范》GB 50009的规定确定;
QK,2——雪荷载的基本雪压,取重现期100年的雪压值;
CQ,2——雪荷载的计算参数,按实际情况确定。 2 结构工程荷载系数对应的检验目标荷载值应按下式计算确定:

F.4.5 当既有结构构件承载力的分项系数γR大于检验荷载系数γF时,检验目标荷载值应按下式计算:

γR——构件承载力的分项系数,按本标准附录E的规定确定。
F.4.6
当材料强度的系数大于检验荷载的系数时,检验目标荷载应符合下列规定:
1 既有结构的检验目标荷载值应按下式计算:

γm——材料强度的系数,由材料强度的设计值除以材料强度的标准值确定。 2 结构工程的检验目标荷载值应按下式计算:

F.4.7 构件承载力的荷载系数或构件系数的实荷检验,当出现下列情况之一时,应立即停止检验,并应判定其承载能力不足:
1 钢构件的实测应变接近屈服应变;
2 钢构件变形明显超出计算分析值;
3 钢构件出现局部失稳迹象;
4 混凝土构件出现受荷裂缝;
5 混凝土构件出现混凝土压溃的迹象;
6 其他接近构件极限状态的标志。
F.4.8 结构构件经历检验目标荷载满足下列要求时,可评价在检验目标荷载下有足够的承载力:
1 实测应变和变形等与达到承载能力极限状态的预估值有明显的差距;
2 钢构件没有局部失稳的迹象;
3 混凝土构件未见加荷造成的裂缝或裂缝宽度小于检验荷载作用下的预估值;
4 卸荷后无明显的残余变形;
5 构件没有出现材料破坏的迹象。