《建筑结构检测技术标准》GB/T 50344-2019
附录H 混凝土中氯离子含量测定
H.0.1 硬化混凝土中氯离子的含量可按本附录规定的方法进行测定。
H.0.2 混凝土中氯离子含量的测定应具备下列仪器:
1 具有0.1pH单位或10mV精确度的酸度计或电位计;
2 银电极或氯电极;
3 饱和甘汞电极;
4 电磁搅拌器;
5 电振荡器;
6 50mL滴定管;
7 10mL、25mL及50mL移液管;
8 烧杯;
9 300mL磨口三角瓶;
10 感量为0.0001g和感量为0.1g的天平;
11 最高使用温度不小于1000℃的箱式电阻炉;
12 0.075mm的方孔筛;
13 电热鼓风恒温干燥箱,温度控制范围0℃~250℃;
14 磁铁;
15 快速定量滤纸;
16 干燥器。
H.0.3 混凝土中氯离子含量的测定应具备下列试剂:
1 三级以上试验用水;
2 1个体积的硝酸加3个体积的试验用水配制的硝酸溶液(1+3);
3 浓度为10g/L的酚酞指示剂;
4 浓度为0.01mol/L的硝酸银标准溶液;
5 浓度为10g/L的淀粉溶液;
6 氯化钠基准试剂;
7 硝酸银。
H.0.4 试样制备应符合下列规定:
1 混凝土芯样应进行破碎,并应剔除粗骨料;
2 试样应缩分至30g,并应研磨至全部通过0.075mm的方孔筛;
3 试样中的铁屑应采用磁铁吸出;
4 试样应置于105℃~110℃电热鼓风恒温干燥箱中烘至恒重,取出后应放入干燥器中冷却至室温。
H.0.5 硝酸银标准溶液应按下列方法配制:
1 用感量为0.0001g的天平称取1.7000g硝酸银,放于烧杯中;
2 在烧杯中加入少量试验用水,待硝酸银溶解后,将溶液移入1000mL容量瓶中;
3 向容量瓶中加入试验用水稀释至1000mL刻度,摇匀,储存于棕色瓶中。
H.0.6 氯化钠标准溶液应按下列方法配制:
1 将氯化钠基准试剂放于温度为500℃~600℃箱式电阻炉中进行灼烧,灼烧至恒重;
2 用感量为0.0001g的天平称取灼烧后的氯化钠基准试剂0.6000g,放于烧杯中;
3 在烧杯中加入少量试验用水,待氯化钠溶解后,将溶液移入1000mL容量瓶中;
4 向容量瓶中加入试验用水稀释至1000mL刻度,摇匀,储存于试剂瓶中。
H.0.7
硝酸银标准溶液应按下列规定进行标定:
1 使用25mL移液管分别吸取25.00mL氯化钠标准溶液和25.00mL试验用水置于100mL烧杯中;
2 在烧杯中加10.0mL浓度为10g/L的淀粉溶液;
3 将烧杯放置于电磁搅拌器上,以银电极或氯电极作指示电极,以饱和甘汞电极作参比电极,用配制好的硝酸银标准溶液滴定;
4 按现行国家标准《化学试剂 电位滴定法通则》GB/T 9725的规定,以二级微商法确定所用硝酸银溶液的体积;
5 同时使用试验用水代替氯化钠标准溶液进行上述步骤的空白试验,确定空白试验所用硝酸银标准溶液的体积;
6 硝酸银标准溶液的浓度按下式计算:

m(NaCl)——氯化钠的质量(g);
V1——滴定氯化钠标准溶液所用硝酸银标准溶液的体积(mL);
V2——空白试验所用硝酸银标准溶液的体积(mL);
0.05844——氯化钠的毫摩尔质量(g/mmol)。
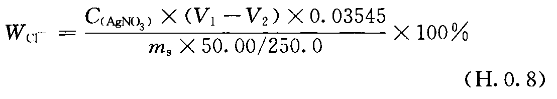
H.0.8
混凝土中氯离子含量应按下列方法测定:
1 混凝土试样应按下列步骤制备混凝土试样滤液:
1)用感量0.0001g的天平称取5.0000g试样,放入磨口三角瓶中;
2)在磨口三角瓶中加入250.0mL试验用水,盖紧塞剧烈摇动3min~4min;
3)再将盖紧塞的磨口三角瓶放在电振荡器上振荡6h或静止放置24h;
4)以快速定量滤纸过滤磨口三角瓶中的溶液于烧杯中,即成为混凝土试样滤液。
2 混凝土试样滤液应按下列步骤进行滴定:
1)用移液管吸取50.00mL滤液于烧杯中,滴加浓度为10g/L的酚酞指示剂2滴;
2)用配制的硝酸溶液滴至红色刚好褪去,再加10.0mL浓度为10g/L的淀粉溶液;
3)将烧杯放置于电磁搅拌器上,以银电极或氯电极作指示电极,饱和甘汞电极作参比电极,用配制好的硝酸银标准溶液滴定;
4)按现行国家标准《化学试剂 电位滴定法通则》GB/T 9725的规定,以二级微商法确定所用硝酸银溶液的体积。
3 应使用试验用水代替混凝土试样滤液按第2款的步骤同时进行试验用水的空白试验,确定空白试验所用硝酸银标准溶液的体积。
4 混凝土中氯离子含量按下式计算:

C(AgNO3)——硝酸银标准溶液的浓度(mol/L);
V1——滴定混凝土试样滤液所用硝酸银标准溶液的体积(mL);
V2——空白试验所用硝酸银标准溶液的体积(mL);
0.03545——氯离子的毫摩尔质量(g/mmol);
ms——混凝土试样质量(g)。
H.0.9 混凝土中氯离子占胶凝材料总量的百分比应按下式计算:

WCl-——混凝土中氯离子含量(%);
λC——根据混凝土配合比确定的混凝土中胶凝材料与砂浆的质量比。