《拉脱法检测混凝土抗压强度技术规程》JGJ/T 378-2016
6 抗压强度换算与推定 / 6.1 强度换算
6.1.1 结构构件中第i个测点的混凝土抗压强度换算值,可按本规程第5.2节规定测得计算试件拉脱强度值fp,i,宜采用专用测强曲线或地区测强曲线换算成第i个测点的混凝土抗压强度值,采用专用和地方曲线制定方法,应符合本规程附录D的规定。
6.1.2 换算强度可按下式计算,也可采用本规程附录E规定的测点混凝土抗压强度换算表进行换算。

fp,i——第i个测点试件拉脱强度值(MPa),精确至0.001MPa。
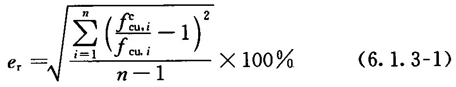
6.1.3
专用测强曲线或地区测强曲线应按本规程附录D执行。专用或地区测强曲线的抗压强度相对标准差er、平均相对误差δ应符合下列规定:
1 专用测强曲线:相对标准差er不宜大于11.0%,平均相对误差δ不宜大于10.0%;
2 地区测强曲线:相对标准差er不宜大于13.0%,平均相对误差δ不宜大于11.0%;
3 回归方程的相对标准差er,平均相对误差δ应按下列公式计算:


δ——平均相对误差(%),精确至0.1%;
fcu,ic——第i个测点换算的混凝土立方体抗压强度值(MPa),精确至0.1MPa;
fcu,i——第i组混凝土立方体试件的抗压强度(MPa),精确至0.1MPa;
n——测点数(个)。