《拉脱法检测混凝土抗压强度技术规程》JGJ/T 378-2016
6 抗压强度换算与推定 / 6.2 抗压强度推定
6.2.1
结构构件混凝土立方体抗压强度推定值fcu,e应按下列规定确定:
1 按单个构件检测,由拉脱强度值换算的混凝土立方体抗压强度代表值,可作为构件的混凝土抗压强度推定值fcu,e,并应按下式确定:

fcu,r,ic——第i个构件拉脱强度换算的混凝土立方体抗压强度代表值(MPa)精确至0.1MPa。 2 对大型结构构件的检测,混凝土推定强度应按下列公式计算:



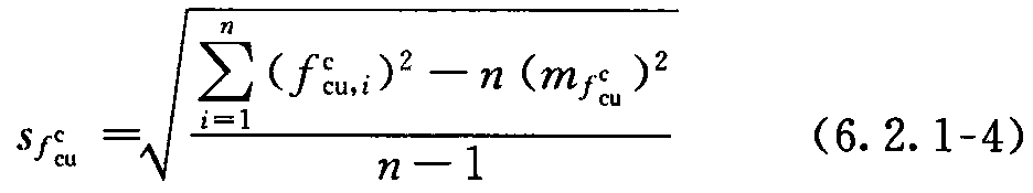
mfcuc——结构构件测点混凝土强度换算值的平均值(MPa),精确至0.1MPa;
sfcuc——结构构件测点混凝土强度换算值的标准差(MPa),精确至0.01MPa;
n——测点数(个)。 3 按检测批抽检的混凝土推定强度,宜按本规程公式(6.2.1-2)~公式(6.2.1-4)计算确定;当计算结果略低于设计值时,也可按现行国家标准《建筑结构检测技术标准》GB/T 50344规定计算混凝土强度推定区间。
6.2.2 按检测批检测的结构构件,当一批结构构件的测点混凝土抗压强度标准差出现下列情况之一时,应全部按单个构件进行强度推定:
1 混凝土抗压强度平均值小于25.0MPa时,标准差大于4.50MPa;
2 混凝土抗压强度平均值在25.0MPa~50.0MPa的范围内时,标准差大于5.50MPa;
3 混凝土抗压强度平均值大于50.0MPa时,标准差大于6.50MPa。