《既有建筑地基基础检测技术标准》JGJ/T 422-2018
附录B 静载荷试验既有建筑基础验算
B.0.1 验算所采用的材料强度、尺寸、钢筋配置等应为试验状态下的指标。
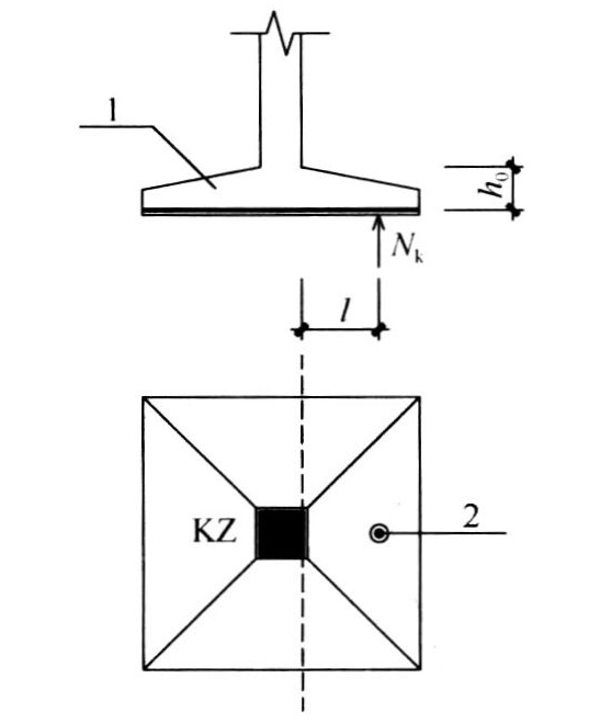
B.0.2 钢筋混凝土基础受弯验算截面应取柱边和基础变阶处(图B.0.2),可按下列公式计算:

1—基础;2—千斤顶

fy——基础底板配置钢筋的抗拉强度设计值(kPa);
As——基础底板配置钢筋的面积(m²);
h0——验算截面的有效高度(m);
Nk——载荷试验最大加载值(kN);
l——千斤顶中心到验算截面的距离(m)。
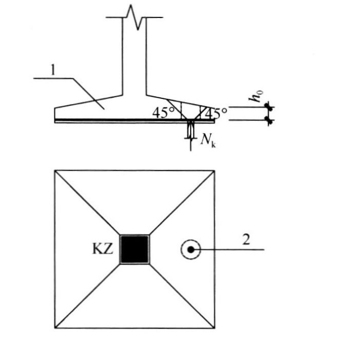
B.0.3 钢筋混凝土基础的受冲切验算应符合下列规定(图B.0.3):

1—基础;2—千斤顶

βh——受冲切承载力截面高度影响系数,当h不大于800mm时,取βh为1.0;当h不小于2000mm时,取βh为0.9,其间按线性内插法采用;
ft——基础底板混凝土抗拉强度设计值(kPa);
η——系数,取η1和η2的较小值;
um——计算截面的周长,取距离作用面积周边h0/2处基础垂直截面的最不利周长(m);
η1——作用面积形状的影响系数;
η2——计算截面周长与基础截面有效高度之比的影响系数;
βs——作用面积为矩形时的长边与短边尺寸的比值,不宜大于4;当βs小于2时取2;对圆形冲切面,β取2;
αs——局部荷载作用位置影响系数:在基础中间时,αs取40;在边上时,αs取30;在角上时,αs取20。
B.0.4 钢筋混凝土基础的受剪验算应符合下列规定:

βhs——受剪切承载力截面高度影响系数,当h0小于800nm时,取h0为800mm;当h0大于2000mm时,取h0为2000mm;
A0—验算截面处基础的有效截面面积(m²)。当验算截面为阶形或锥形时,可将其截面折算成矩形截面,截面的折算宽度和截面的有效高度应按现行国家标准《建筑地基基础设计规范》GB 50007计算。
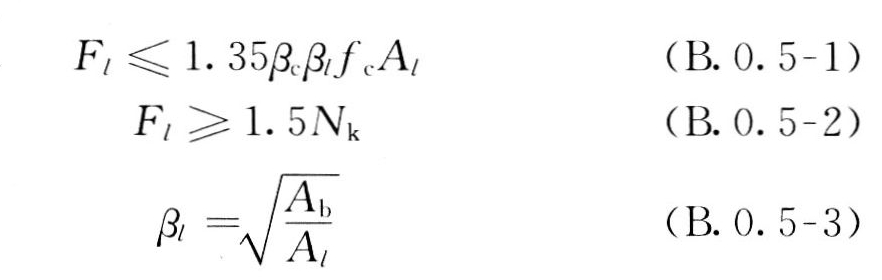
B.0.5 钢筋混凝土基础的局部受压验算应符合下列规定(图B.0.5):


fc——基础底板混凝土轴心抗压强度设计值(kPa;Al——局部受压面积(m²);
Ab——局部受压计算底面积(m²),按同心对称原则确定。
B.0.6 无筋扩展基础作为载荷试验的反力时,千斤顶应安放在墙或柱下,基础的局部受压验算应符合下列规定(图B.0.5):
