《既有建筑地基基础检测技术标准》JGJ/T 422-2018
4 地基检测 / 4.3 物探法
4.3.1 瞬态面波试验适用于测试天然地基、处理后地基等的面波波速和反演剪切波波速,推算岩土层的标准贯入击数,初步划分既有建筑地基岩土层的分布。黄土覆盖层较厚场地、古河道砾石场地和浅水面埋深大的区域,应通过现场测试确定其适用性。
4.3.2 瞬态面波试验的仪器设备应符合现行行业标准《建筑地基检测技术规范》JGJ340、《多道瞬态面波勘察技术规程》JGJ/T 143的规定。
4.3.3 瞬态面波试验的现场检测除应符合现行行业标准《建筑地基检测技术规范》JGJ340的规定外,尚应符合下列规定:
1 既有建筑基础内、外均应布置测试点,且宜设置在其他检测方法的测试点附近;
2 可通过改变震源的频谱成分改变检测深度,同种震源,可通过改变激振力、落距等激振条件改变其频谱成分;
3 宜选择现场环境干扰波最弱的时间段实施测试。
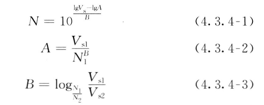
4.3.4 瞬态面波试验的数据分析应符合现行行业标准《建筑地基检测技术规范》JGJ340的规定,岩土层的标准贯入击数可按下列公式推算:

Vs1、Vs2——钻孔1、钻孔2的实测剪切波波速(m/s);
N1、N2——钻孔1、钻孔2的实测标准贯入击数;
A、B——与Vs、N有关的系数。
4.3.5 地质雷达可用于探测与地基介电常数差异大的异常体或孔洞。被测场地内存在极低阻屏蔽层、地下水或较浅的电磁场源等干扰因素时,应通过现场测试确定其适用性。
4.3.6 地质雷达仪的探测参数宜根据检测目标和环境条件设置。
4.3.7 天线中心频率和时窗长度与扫描采样点数之间适宜关系可按下式计算确定:

Range——时窗长度(ns);
F——天线中心频率(Hz)。
4.3.8 扫描采样点数宜选用128/scan、256/scan、512/scan、1024/scan或2048/scan,垂向分辨率要求较高时宜选取大值。
4.3.9 扫描速度可按表4.3.9中扫描采样点数与扫描速度之间对应的关系设置。

4.3.10 地质雷达仪时窗长度应根据天线频率和探测目标最大埋置深度选择。
4.3.11 探测深度、时窗长度与雷达波波速之间的适应关系可按下式计算确定:

H——探测深度(m);
v—雷达波在被测介质中的波速(m/ns)。
4.3.12 采样间隔宜设置为介质中波长的1/4,也可按下式计算确定:

c0——光速(m/s);
f——频率(Hz);
εr——介电常数。
4.3.13 天线最大移动速度宜根据扫描次数、扫描速率、天线宽度和探测体尺寸按下式计算确定:

ξ——扫描速率(s-1);
ny——对探测体的扫描次数,不宜小于20次;
D1——天线的宽度(m);
D0——探测体尺寸(m)。
4.3.14 现场检测时雷达仪的天线移动和检测剖面设置宜垂直基础走向,并应清除障碍物。
4.3.15 雷达测试宜连续进行,同一检测剖面应复测比对。
4.3.16 既有建筑地基中不同介质的界面可依据下列因素作出判定:
1 反射波的频率特征;
2 反射波的强弱、反射系数和反射波幅的正负变化情况;
3 反射波同相轴的走时、形态、强弱、方向等以及反射层面的追踪和边缘的绕射情况;
4 反射信号图像中的波形异常情况。