《木结构工程施工质量验收规范》GB 50206-2012
附录G 规格材材质等级检验方法 / G.3 规格材抗弯强度见证检验
G.3.1 规格材抗弯强度见证检验应采用复式抽样法,试样应从每一进场批次、每一强度等级和每一规格尺寸的规格材中随机抽取,第1次抽取28根。试样长度不应小于17h+200mm(h为规格材截面高度)。
G.3.2 规格材试样应在试验地通风良好的室内静待数天,使同批次规格材试样间含水率最大偏差不大于2%。规格材试样应测定平均含水率w,平均含水率应大于等于10%,且应小于等于23%。
G.3.3 规格材试样在检验荷载Pk作用下的三分点侧立抗弯试验,应按现行国家标准《木结构试验方法标准》GB/T 50329进行(图G.3.3)。试样跨度不应小于17h,安装时试样的拉、压边应随机放置,并应经1min等速加载至检验荷载Pk。

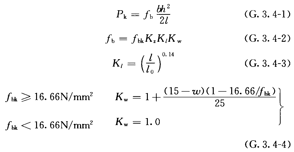
G.3.4 规格材侧立抗弯试验的检验荷载应按下列公式计算:

h——规格材的截面高度;
l——试样的跨度;
l0——试样标准跨度,取3.658m;
fbk——规格材抗弯强度检验值,可按表G.3.4-1取值;
Kz——规格材抗弯强度的截面尺寸调整系数,可按表G.3.4-2取值;
Kl——规格材抗弯强度的跨度调整系数;
Kw——规格材抗弯强度的含水率调整系数;
w——试验时规格材的平均含水率。
表G.3.4-1 进口北美目测分等规格材抗弯强度检验值(N/mm)
注:1 表中所列强度检验值为规格材的抗弯强度特征值。
2 机械分等规格材的抗弯强度检验值应取所在等级规格材的抗弯强度特征值。
表G.3.4-2 规格材强度截面尺寸调整系数
注:Ⅵc、Ⅶc规格材截面高度均小于等于90mm。

G.3.5 规格材合格与否应按检验荷载Pk作用下试件破坏的根数判定。28根试件中小于等于1根发生破坏时,应为合格。试件破坏数大于3根时,应为不合格。试件破坏数为2根时,应另随机抽取53根试件进行规格材侧立抗弯试验。试件破坏数小于等于2根时,应为合格,大于2根时应为不合格。试验中未发生破坏的试件,可作为相应等级的规格材继续在工程中使用。