《木结构现场检测技术标准》JGJ/T 488-2020
附录A 应力波、阻力仪检测木材力学性能方法
A.0.1 非破损检测力学性能取样应符合下列规定:
1 取样时每栋建筑应为一个检验批,每个检验批中测试构件数量不应少于总构件数量的10%,且不应少于3个构件;
2 测区位置应选择木构件无缺陷的良好部位。对承受弯曲载荷的构件,宜选择产生拉应力最大部位或其中间部位下表面;对承受轴向载荷的构件,宜选择沿高度方向的不同部位。
A.0.2 阻力仪检测法检测木构件力学性能时,每个构件应至少钻取3个测点,取三者平均值作为该试件的阻力值,3个测点不应位于同一横截面。应沿构件木材横纹方向钻入,并垂直于构件表面(图A.0.2)。

1—检测方向1;2—检测方向2;3—检测方向3
A.0.3 应力波检测法测量木构件力学性能应符合下列规定:
1 应力波测量仪的两个探针应沿被测木构件长度方向插入其表层,记录两探针插入点间距,两探针间距宜为600mm,探针与试件长度方向夹角应为30°~45°(图A.0.3);
2 应取连续敲击测定五次所得传播时间读数的平均值作为测定结果,根据两探针间距和应力波传播时间计算出应力波传播速度。

1—应力波检测仪;α—探针与试件长度方向夹角;L—测点距离
A.0.4 落叶松的力学性能检测,应采用阻力仪与应力波结合检测法,将实测含水率x%时的Fx、υx转化为9%含水率时的F9、υ9,按下列公式计算:

F9——含水率9%时的微钻阻力值(示值);
ρ9——含水率9%时的密度(kg/m3);
υx——含水率x%时的应力波速度(km/s);
Fx——含水率x%时的微钻阻力值(示值);
E9——含水率9%时的抗弯弹性模量(GPa);
σb9——含水率9%时的抗弯强度(MPa);
MCxv——含水率x%,适用含水率范围6%~16%。
A.0.5 标准含水率12%时的抗弯弹性模量、抗弯强度可由含水率9%时的抗弯弹性模量E9、抗弯强度σb9按下列公式推算:

σb12——含水率12%时的抗弯强度(MPa)。
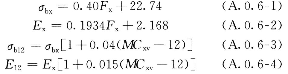
A.0.6 杉木的力学性能检测,现场检测宜采用阻力仪检测的方法,含水率12%时的σb12和E12可按下列公式计算:

σbx——含水率x%时的抗弯强度(MPa);
Ex——含水率x%时的抗弯弹性模量(GPa);
MCxv——含水率x%,适用含水率范围(9%~15%);
E12——含水率12%时的抗弯弹性模量(GPa);
σb12——含水率12%时的抗弯强度(MPa)。