《混凝土结构现场检测技术标准》GB/T 50784-2013
附录E 混凝土裂缝深度超声单面平测方法
E.0.1 当结构的裂缝部位只有一个可测面,裂缝的估计深度不大于500mm且比被测构件厚度至少小100mm以上时,可采用单面平测法检测混凝土裂缝深度。
E.0.2 单面平测法检测混凝土裂缝深度时,受检裂缝两侧均应具有清洁、平整且无裂缝的检测面,检测面宽度均不宜小于估计的缝深;被测裂缝中不应有积水或泥浆等。
E.0.3
单面平测法检测裂缝深度应按下列步骤进行:
1 应将T和R换能器置于裂缝附近同一侧,以两个换能器内边缘间距
等于100mm、150mm、200mm......分别读取4个以上的声时值(ti),求出声时与测距之间的回归直线方程:
l ——测距(mm);
t ——与测距l对应的声时值(μs);
a ——回归直线方程的常数项(mm);
b ——回归系数即平测法声速v(km/s)。 2 各测点超声实际传播的距离li应按下式计算:

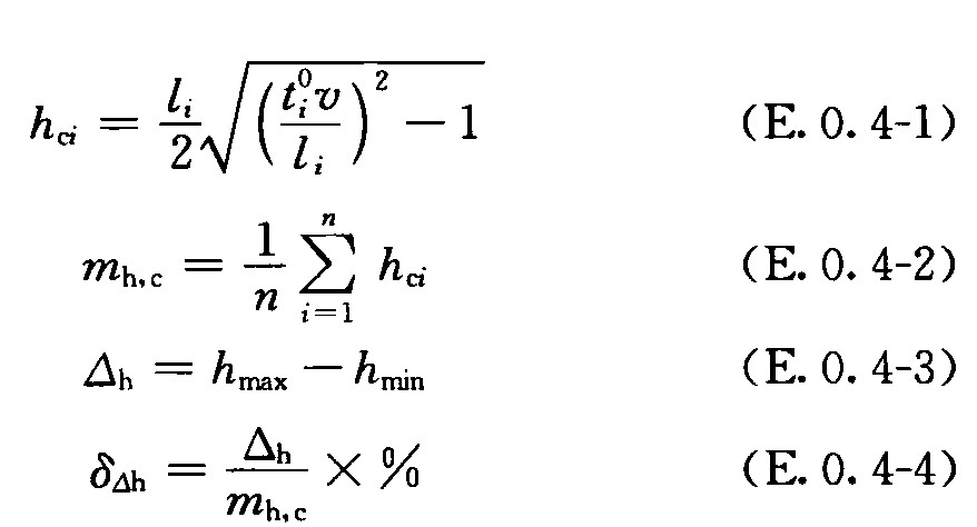
E.0.4 对应于不同测距的裂缝深度及裂缝深度的极差和裂缝深度的平均值应按下列公式计算:

hci ——第i点裂缝深度计算值(mm);
li ——不跨缝平测时第i点的超声波实际传播距离(mm);
t0i ——第i点跨缝平测的声时值(μs);
v ——裂缝区域的混凝土声速,可取用平测法声速(km/s);
mh,c ——各测点裂缝深度计算值的平均值(mm);
hmax ——最大裂缝深度计算值;
hmin ——最小裂缝深度计算值;
n ——跨缝测点数。
E.0.5 各测点的裂缝计算深度的极差应满足下列规定:
1 当mh,c≤30mm时,绝对极差不应大于10mm;
2 当30mm<mh,c<300mm时,相对极差不应大于30%;
3 当mh,c≥300mm时,绝对极差不应大于90mm。
E.0.6 受检裂缝深度应按下列规定确定:
1 当各测点的裂缝计算深度的极差满足本标准第E.0.5条要求时,应取裂缝深度计算值的平均值作为受检裂缝的深度。
2 当各测点的裂缝计算深度的极差不满足第E.0.5条要求时,应将各测点的测距li'与裂缝深度计算值的平均值mh,c进行比较,将li'<mh,c和li'>3mh,c的数据直接剔除后,重新计算极差。
3 当重新计算仍不能满足本标准第E.0.5条要求时,应补充检测或重新检测。