《混凝土结构现场检测技术标准》GB/T 50784-2013
附录F 混凝土性能受影响层厚度原位检测方法 / F.3 表面损伤层厚度超声检测方法
F.3.1 超声检测表面损伤层厚度时,测区的布置应符合下列规定:
1 根据表面损伤状况进行分类,将表面损伤状况相近的构件作为一个损伤类别;
2 对每个损伤类别按约定抽样方法选择受检构件或受检区域;
3 每个损伤类别布置不应少于3个测区,测区宜布置在有代表性的部位;
4 测区表面应平整并处于干燥状态,且无接缝和饰面层;
5 以每个类别中最大的损伤深度作为该类别混凝土性能受影响层的厚度。
F.3.2 单个测区表面损伤层厚度的检测应符合下列规定:
1 表面损伤层厚度检测宜选用频率较低的厚度振动式换能器;
2 测试时,T换能器应耦合好,并保持不动;将R换能器依次耦合在间距为30mm的l、2、3、......测点位置上,读取相应的声时值t1、t2、t3、......,并测量每次T、R换能器内边缘之间的距离l1、l2、l3、......(图F.3.2-1);

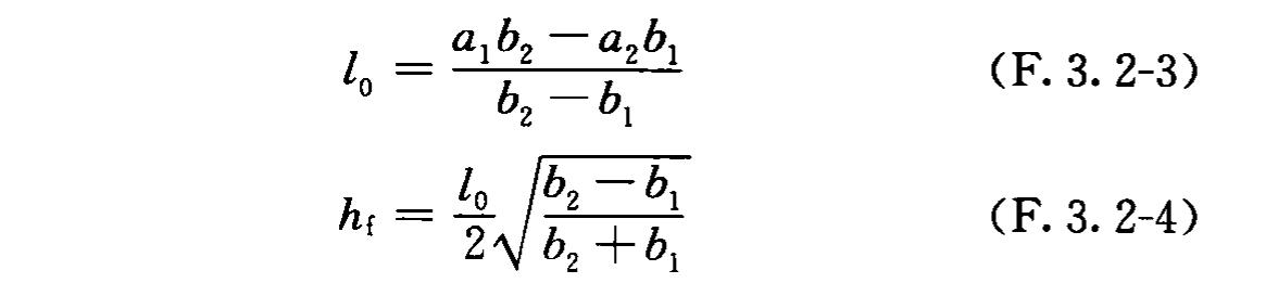
4 用各测点的声时值ti和对应的距离li绘制“时-距”图(图F.3.2-2)。分别用图中转折点前、后数据求出损伤和未损伤混凝土的“l-t”回归直线方程:

(F.3.2-1)
未损伤混凝土:
(F.3.2-2)
5 测区损伤层厚度应按下列公式计算:
