《混凝土结构现场检测技术标准》GB/T 50784-2013
4 混凝土力学性能检测 / 4.2 混凝土抗压强度检测
4.2.1 混凝土抗压强度的现场检测应提供结构混凝土在检测龄期相当于边长为150mm立方体试件抗压强度特征值的推定值。
4.2.2 混凝土抗压强度可采用回弹法、超声-回弹综合法、后装拔出法、后锚固法等间接法进行现场检测。当具备钻芯法检测条件时,宜采用钻芯法对间接法检测结果进行修正或验证。
4.2.3 混凝土抗压强度现场检测的操作和单个构件混凝土抗压强度特征值的推定应按本标准附录A执行。
4.2.4 当采取钻芯法对间接法检测结果进行修正时,芯样样本宜按本标准附录B的规定进行异常值判别和处理。
4.2.5 采用钻芯法对间接法检测结果进行修正应按本标准附录C执行。
4.2.6 批量检测混凝土抗压强度时,宜采取分层计量抽样方法。检验批受检构件数量可按下列方法确定:
1 按相应的检测技术规程的规定确定;
2 按委托方的要求确定;
3 按本标准表3.4.4的规定确定。
4.2.7 检验批测区总数或芯样总数应满足推定区间限值要求,确定检验批测区数量时宜考虑受检混凝土抗压强度的变异性。当不能确定混凝土抗压强度变异性时,可取混凝土抗压强度变异系数为0.15来确定检验批测区数量。
4.2.8 当不需要提供每个受检构件混凝土强度推定值且总测区数满足推定区间限值要求时,每个构件布置的测区数量可适当减少,但不宜少于3个。
4.2.9 混凝土抗压强度的批量检测应符合下列规定:
1 将混凝土抗压强度和质量状况相近的同类构件划分为一个检验批。
2 按本标准第4.2.6条确定受检构件数量。
3 在检验批中随机选取受检构件,按预先确定的测区数或芯样总数在每个构件上均匀布置测区或取样点,按选定的方法进行测试,得到每个测区或每个芯样的混凝土换算强度。
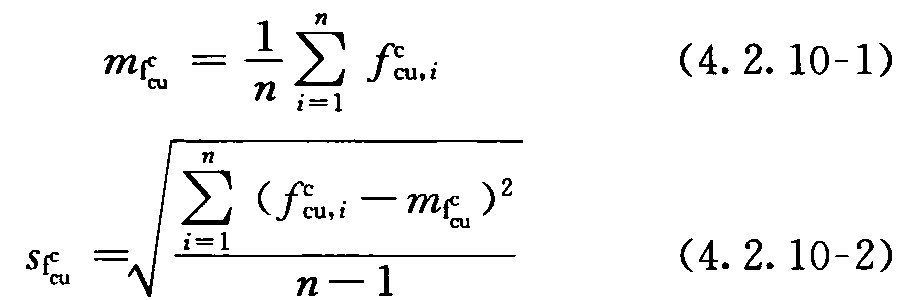
4.2.10 批量检测混凝土抗压强度时,样本换算强度平均值和样本换算强度标准差应按下列公式计算:

mfcuc ——样本换算强度平均值,精确至0.1MPa;
n ——样本容量,取获得换算强度的测区总数或芯样总数;
fcu,ic ——测区或芯样换算强度值,精确至0.1MPa;
sfcuc ——样本换算强度标准差,精确至0.01MPa。
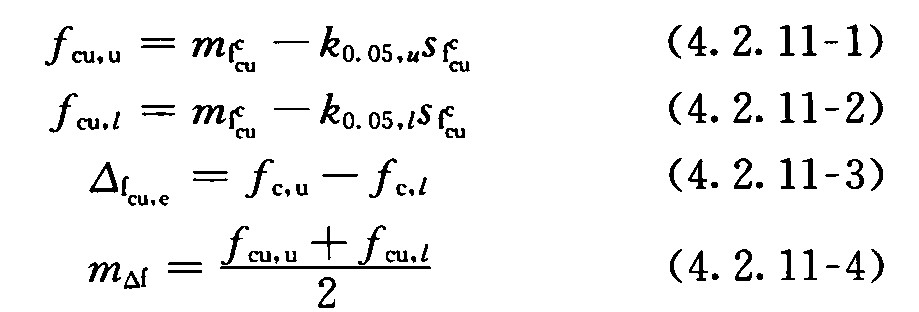
4.2.11 批量检测混凝土抗压强度时,检验批混凝土抗压强度推定区间上限值、下限值、上限与下限差值及其均值应按下列公式计算:

fcu,u ——推定区间上限值,精确至0.1MPa;
fcu,l ——推足区间下限值,精确至0.1MPa;
Δfcu,e ——推定区间上限与下限的差值,精确至0.1MPa;
mΔf ——推定上限与下限的均值,精确至0.1MPa。
4.2.12 检验批混凝土抗压强度的推定应符合下列规定:
1 当推定区间上限与下限差值不大于5.0MPa和0.1mΔf两者之间的较大值时,检验批混凝土抗压强度推定值可根据实际情况在推定区间内取值。
2 当推定区间上限与下限差值大于5.0MPa和0.1mΔf两者之间的较大值时,宜采取下列措施之一进行处理,直至满足本条第1款的规定:
1) 增加样本容量,进行补充检测;
2) 细分检验批,进行补充检测或重新检测。
3 当推定区间上限与下限差值大于5.0MPa和0.1mΔf两者之间的较大值且不具备本条第2款条件时,不宜进行批量推定。
4 工程质量检测时,当检验批混凝土抗压强度推定值不小于设计要求的混凝土抗压强度等级时,可判定检验批混凝土抗压强度符合设计要求。
5 结构性能检测时,可采用检验批混凝土抗压强度推定值作为结构复核的依据。