《砌体工程现场检测技术标准》GB/T 50315-2011
12 砂浆回弹法 / 12.4 数据分析
12.4.1 从每个测位的12个回弹值中,应分别剔除最大值、最小值,将余下的10个回弹值计算算术平均值,应以R表示,并应精确至0.1。
12.4.2 每个测位的平均碳化深度,应取该测位各次测量值的算术平均值,应以d表示,并应精确至0.5mm。
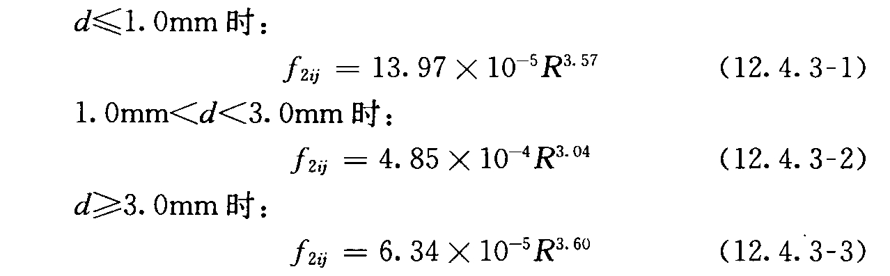
12.4.3 第i个测区第j个测位的砂浆强度换算值,应根据该测位的平均回弹值和平均碳化深度值,分别按下列公式计算:

d——第i个测区第j个测位的平均碳化深度(mm);
R——第i个测区第j个测位的平均回弹值。
12.4.4 测区的砂浆抗压强度平均值,应按下式计算:
