《砌体工程现场检测技术标准》GB/T 50315-2011
13 点荷法 / 13.4 数据分析
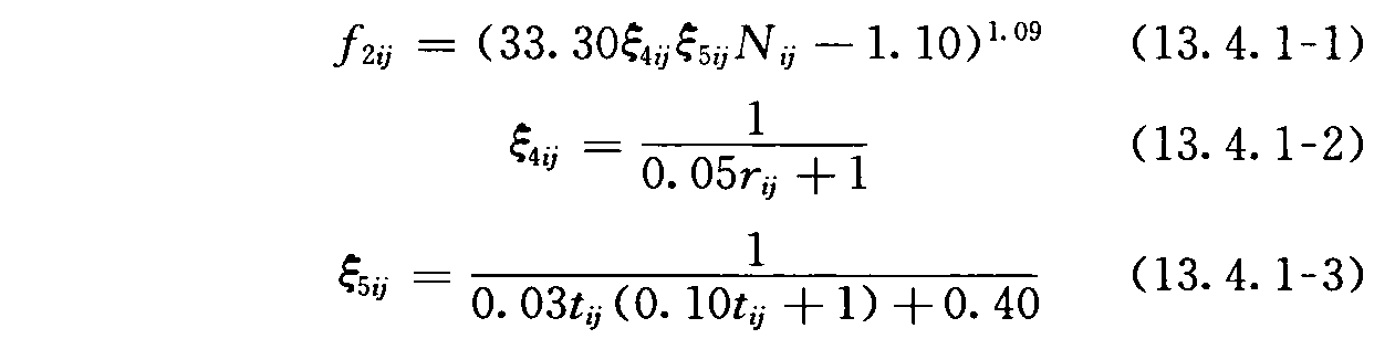
13.4.1 砂浆试件的抗压强度换算值,应按下列公式计算:

ξ4ij——荷载作用半径修正系数;
ξ5ij——试件厚度修正系数;
rij——荷载作用半径(mm);
tij——试件厚度(mm)。
13.4.2 测区的砂浆抗压强度平均值,应按本标准式(12.4.4)计算。
13.4.1 砂浆试件的抗压强度换算值,应按下列公式计算:

13.4.2 测区的砂浆抗压强度平均值,应按本标准式(12.4.4)计算。