《砌体工程现场检测技术标准》GB/T 50315-2011
15 强度推定
15.0.1 检测数据中的歧离值和统计离群值,应按现行国家标准《数据的统计处理和解释 正态样本离群值的判断和处理》GB/T 4883中有关格拉布斯检验法或狄克逊检验法检出和剔除。检出水平α应取0.05,剔除水平α应取0.01;不得随意舍去歧离值,从技术或物理上找到产生离群原因时,应予剔除;未找到技术或物理上的原因时,则不应剔除。
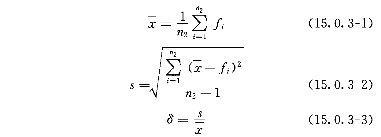
15.0.2 本标准的各种检测方法,应给出每个测点的检测强度值fij,以及每一测区的强度平均值fi,并应以测区强度平均值fi作为代表值。
15.0.3 每一检测单元的强度平均值、标准差和变异系数,应按下列公式计算:

n2——同一检测单元的测区数;
fi——测区的强度代表值(MPa)。当检测砂浆抗压强度时,fi即为f2i;当检测烧结砖抗压强度时,fi即为f1i;当检测砌体抗压强度时,fi即为fmi;当检测砌体抗剪强度时,fi即为fvi;
s——同一检测单元,按n2个测区计算的强度标准差(MPa);
δ——同一检测单元的强度变异系数。
15.0.4
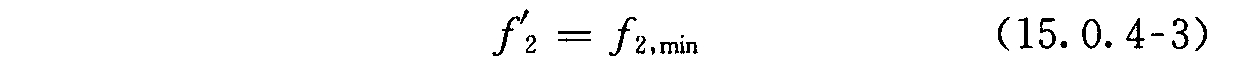
对在建或新建砌体工程,当需推定砌筑砂浆抗压强度值时,可按下列公式计算:
1 当测区数n2不小于6时,应取下列公式中的较小值:

f2,min——同一检测单元,测区砂浆抗压强度的最小值(MPa)。 2 当测区数n2小于6时,可按下式计算:

15.0.5 对既有砌体工程,当需推定砌筑砂浆抗压强度值时,应符合下列要求:
1 按国家标准《砌体工程施工质量验收规范》GB 50203-2002及之前实施的砌体工程施工质量验收规范的有关规定修建时,应按下列公式计算:
1)当测区数n2不小于6时,应取下列公式中的较小值:
2)当测区数n2小于6时,可按下式计算:
2 按《砌体结构工程施工质量验收规范》GB 50203-2011的有关规定修建时,可按本标准第15.0.4条的规定推定砌筑砂浆强度值。
15.0.6 当砌筑砂浆强度检测结果小于2.0MPa或大于15MPa时,不宜给出具体检测值,可仅给出检测值范围f2<2.0MPa或f2>15MPa。
15.0.7 砌筑砂浆强度的推定值,宜相当于被测墙体所用块体作底模的同龄期、同条件养护的砂浆试块强度。
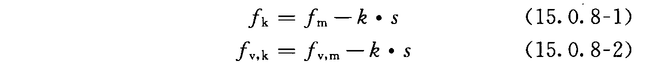
15.0.8
当需要推定每一检测单元的砌体抗压强度标准值或砌体沿通缝截面的抗剪强度标准值时,应分别按下列要求进行推定:
1 当测区数n2不小于6时,可按下列公式推定:

fm——同一检测单元的砌体抗压强度平均值(MPa);
fv,k——砌体抗剪强度标准值(MPa);
fv,m——同一检测单元的砌体沿通缝截面的抗剪强度平均值(MPa);
k——与α、C、n2有关的强度标准值计算系数,应按表15.0.8取值;
α——确定强度标准值所取的概率分布下分位数,取0.05;
C——置信水平,取0.60。


fvi,min——同一检测单元中,测区砌体抗剪强度的最小值(MPa)。 3 每一检测单元的砌体抗压强度或抗剪强度,当检测结果的变异系数δ分别大于0.2或0.25时,不宜直接按式(15.0.8-1)或式(15.0.8-2)计算,应检查检测结果离散性较大的原因,若查明系混入不同母体所致,宜分别进行统计,并应分别按式(15.0.8-1)~式(15.0.8-4)确定本标准值。如确系变异系数过大,则应按式(15.0.8-3)和式(15.0.8-4)确定本标准值。
15.0.9 既有砌体工程,当采用回弹法检测烧结砖抗压强度时,每一检测单元的砖抗压强度等级,应符合下列要求:
1 当变异系数δ≤0.21时,应按表15.0.9-1、表15.0.9-2中抗压强度平均值f1,m、抗压强度标准值f1k推定每一检测单元的砖抗压强度等级。每一检测单元的砖抗压强度标准值,应按下式计算:




15.0.10 各种检测强度的最终计算或推定结果,砌体的抗压强度和抗剪强度均应精确至0.01MPa,砌筑砂浆强度应精确至0.1MPa。