《砌体工程现场检测技术标准》GB/T 50315-2011
4 原位轴压法 / 4.4 数据分析
4.4.1 根据槽间砌体初裂和破坏时的油压表读数,应分别减去油压表的初始读数,并应按原位压力机的校验结果,计算槽间砌体的初裂荷载值和破坏荷载值。
4.4.2 槽间砌体的抗压强度,应按下式计算:

Nuij——第i个测区第j个测点槽间砌体的受压破坏荷载值(N);
Aij——第i个测区第j个测点槽间砌体的受压面积(mm²)。
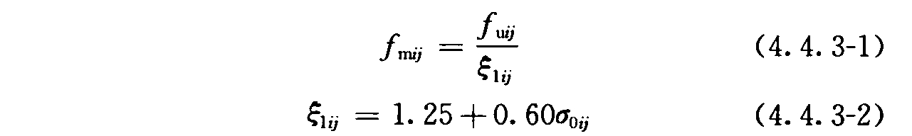
4.4.3 槽间砌体抗压强度换算为标准砌体的抗压强度,应按下列公式计算:

ξ1ij——原位轴压法的无量纲的强度换算系数;
σ0ij——该测点上部墙体的压应力(MPa),其值可按墙体实际所承受的荷载标准值计算。
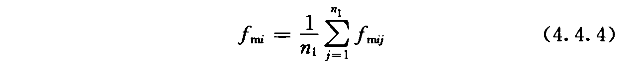
4.4.4 测区的砌体抗压强度平均值,应按下式计算:

n1——第i个测区的测点数。