《砌体工程现场检测技术标准》GB/T 50315-2011
9 推出法 / 9.4 数据分析
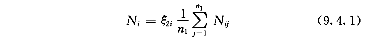
9.4.1 单个测区的推出力平均值,应按下式计算:

Nij——第i个测区第j块测试砖的推出力峰值(kN);
ξ2i——砖品种的修正系数,对烧结普通砖和烧结多孔砖,取1.00,对蒸压灰砂砖或蒸压粉煤灰砖,取1.14。
9.4.2 测区的砂浆饱满度平均值,应按下式计算:

Bij——第i个测区第j块测试砖下的砂浆饱满度实测值,以小数计。
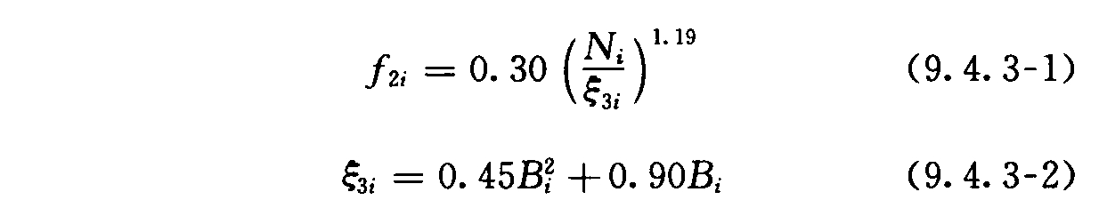
9.4.3 当测区的砂浆饱满度平均值不小于0.65时,测区的砂浆强度平均值,应按下列公式计算:

ξ3i——推出法的砂浆强度饱满度修正系数,以小数计。
9.4.4 当测区的砂浆饱满度平均值小于0.65时,宜选用其他方法推定砂浆强度。